Un almacén frigorífico de 5 m x 5 m x 3 m de altura se mantiene a -18°C. Las paredes, techo y suelo consisten en una capa interior de madera de 2.5 cm, 7 cm de aislante y una capa exterior de 11 cm de ladrillo. Las conductividades de los materiales son: 0.0104 W/m.K para la madera, 0.04W/m.K para la fibra de vidrio (aislante) y 0.69 W/m.K para los ladrillos. Los coeficientes de convección son, entre la madera y el aire inmóvil interior 2.5 W/m2.K; y entre los ladrillos y el aire ambiente exterior hay 4W/m2.K. La temperatura ambiente es de 25°C. Calcular:
El coeficiente global de transmisión de calor.
La temperatura de las dos superficies expuestas a los ambientes, interior y exterior.
La temperatura en las interfases entre los dos materiales.
Resolución:
a) Fórmula para calcular el coeficiente de transmisión de calor.
fi= Coeficiente de convección al interior.
fe= Coeficiente de convección al exterior.
a= Coeficiente de transmisión de calor por convección, como uso de, cámara de aire en espacios verticales y horizontales.
K1, K2, K3= Coeficientes de conductividades térmicas de los materiales.
E1...E3= Espesores de los materiales.
Identificando los datos:
fi= 2.5 W/m2.K
fe= 4 W/m2.K
a= Se descarta, ya que el problema menciona que es aire inmóvil, además no
proporciona ninguna información sobre una cámara de aire.
K1(Madera)= 0.104 W/m.K
K2= (Fibra de vidrio)= 0.04 W/m.K
K3= (Ladrillo)= 0.69 W/m.K
E1 (Madera) = 2.5 cm
E2= (Fibra de vidrio)= 7 cm
E3 (Ladrillo)= 11 cm
Sustituyendo:
=0.357 W/m2.K Inciso a)
b) Utilizando la fórmula Q= U.A.ΔT para calcular el calor:
U=0.357 W/m2.K
A= 5m x 3 m = 15 m2
ΔT= (T2-T1)
T2= 25 + 273.15= 298.15 K
T1= -18 + 273.15 = 255.15 K
Q = (0.357 W/m2.K)(15m2)(298.15 K-(255.15
K)) = 230.262 W
En base a la fórmula de la Ley de enfriamiento de Newton.
Q=h.A( T1- T∞)
Las paredes en contacto, tienen un área de (5 m x 3 m)=15 m2
Despejando para calcular la temperatura del área en contacto con el interior (-18°C).
A= 15 m2
h= Coeficiente de convección = 2.5 W/m2.K
T∞= -18 + 273.15 = 255.15 K
T1= Es la temperatura buscada.
Sustituyendo:
Paracalcular la temperatura del exterior, la fórmula de la Ley de enfriamiento de Newton se modifica, ya que el ambiente transmite calor a la superficie, a diferencia del cálculo de la temperatura interior, en donde la superficie transmite el calor al ambiente frío del interior.
Q=h.A(T∞ - T1)
Despejando la fórmula:
Q= 230.262 W
A= 15 m2
h= Coeficiente de convección = 4 W/m2.K
T∞= 25 + 273.15= 298.15 K
T1= Es la temperatura buscada.
Sustituyendo:
=294.31 K = 21.1623°C es la temperatura de la superficie en contacto con el exterior.
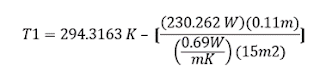
c) En base a la Ley de conducción de calor de Fourier.
Cuando se alcanza el estado de equilibrio térmico, la temperatura a lo largo de la superficie en contacto es constante. Entonces la temperatura es igual en cualquier parte, y la ley de conducción de calor de Fourier, queda de la siguiente manera.
Esta fórmula es usada para calcular las temperaturas en las interfases entre capas de distintos materiales, despejando a T1.
Para calcular la temperatura en la interfase, se comienza con la del ladrillo, ya que se conoce la temperatura superficial o temperatura inicial.
T2 =Temperatura superficial (inicial) = 21.1663 + 273.15 = 294.3163 K
Q = 230.262 W
L = Espesor del material = 11 cm = 0.11 m
K = 0.69 W/m.K
A = 15m2
Sustituyendo:
Temperatura en la interfase (Ladrillo)= 291.869077 - 273.15= 18.7190°C
Ahora se calcula la temperatura en la interfase de la fibra de vidrio (aislante).
T2 = Temperatura de la interfase del ladrillo (inicial) = 18.7190 + 273.15 = 291.869077 K
Q = 230.262 W
L = Espesor del material = 7 cm = 0.07 m
K = 0.04 W/m.K
A = 15m2
Sustituyendo:
Temperatura en la interfase (Fibra de vidrio)= 265.0051 - 273.15= -8.144823°C
